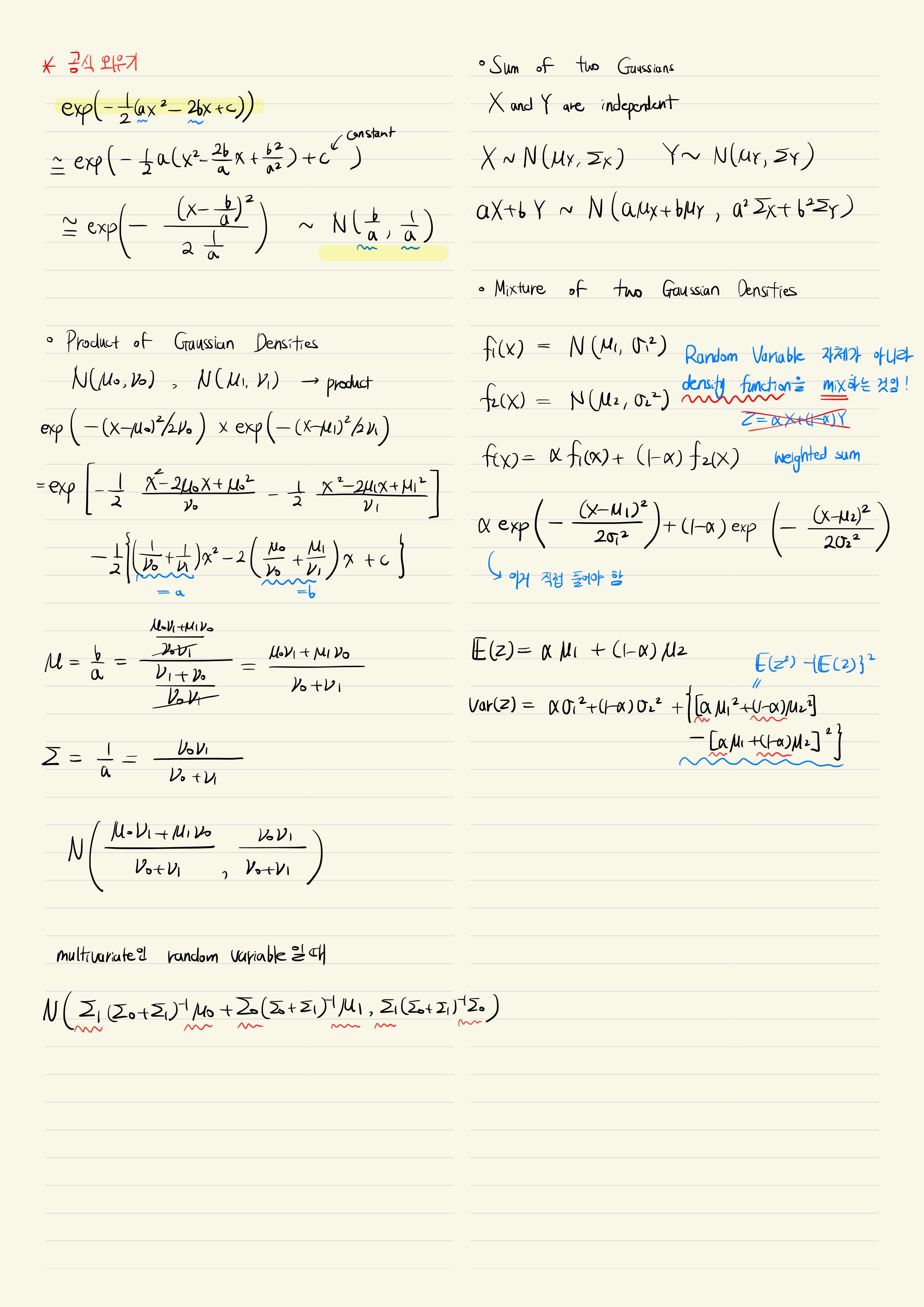
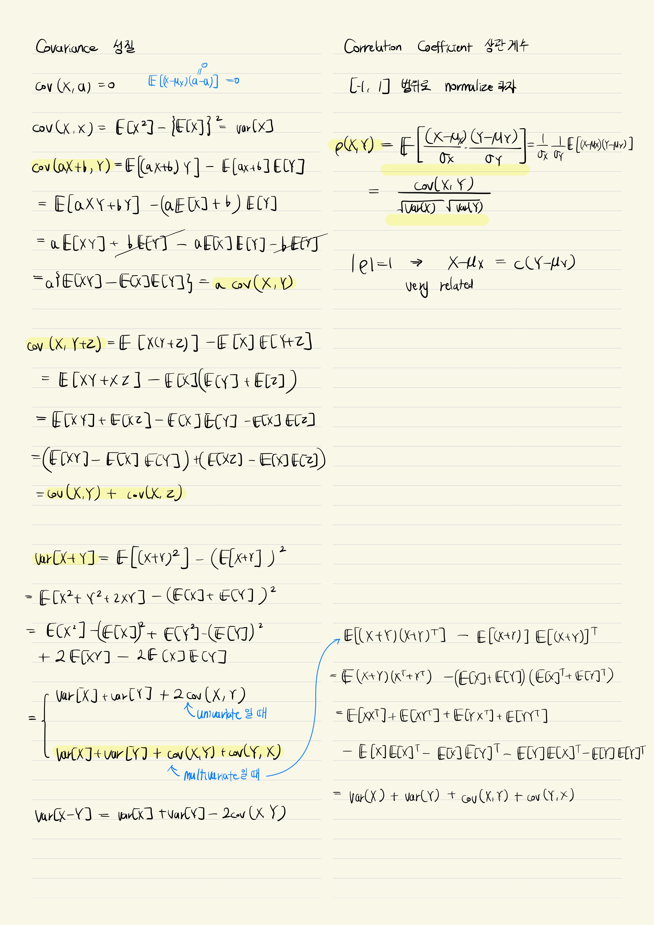
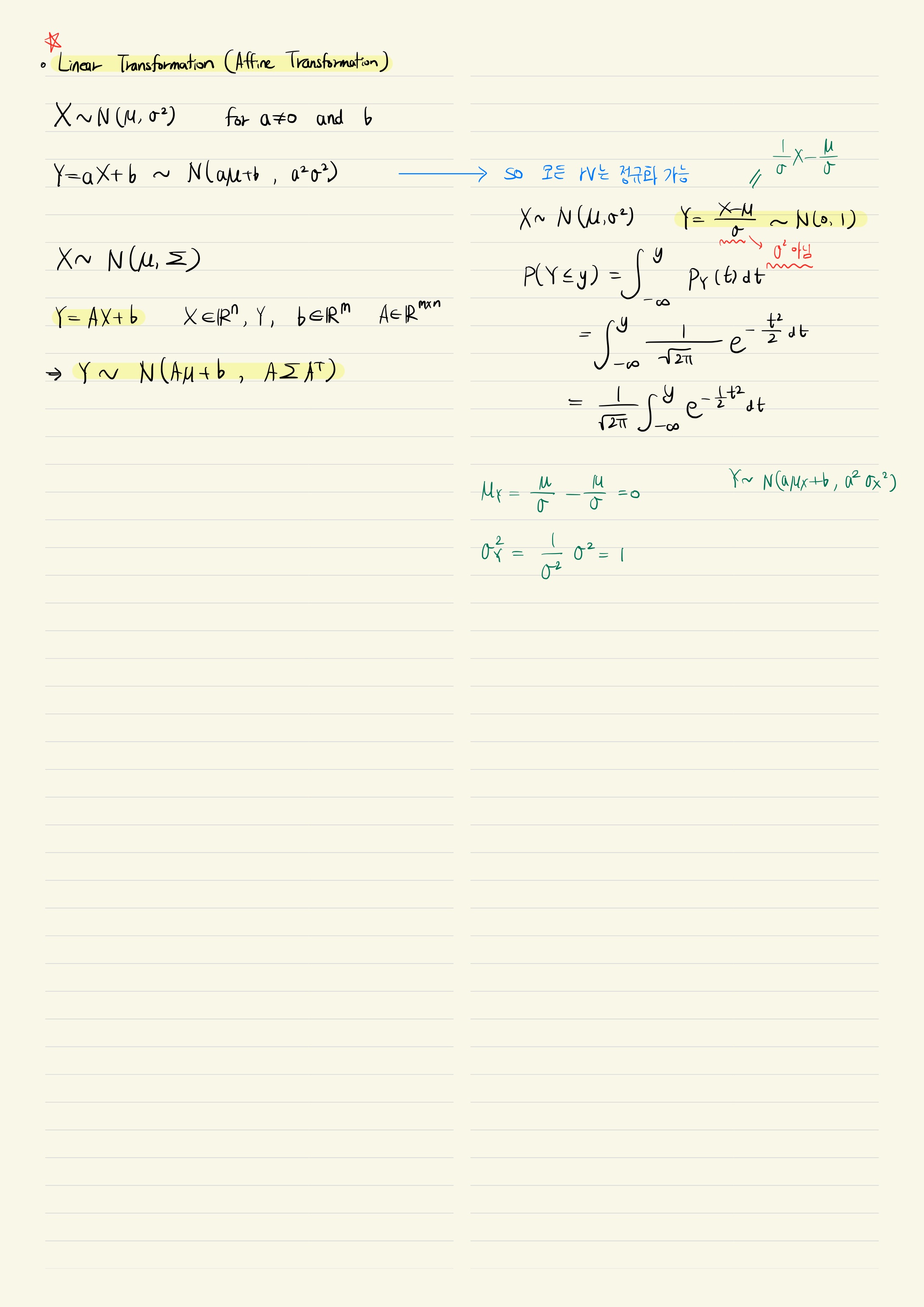
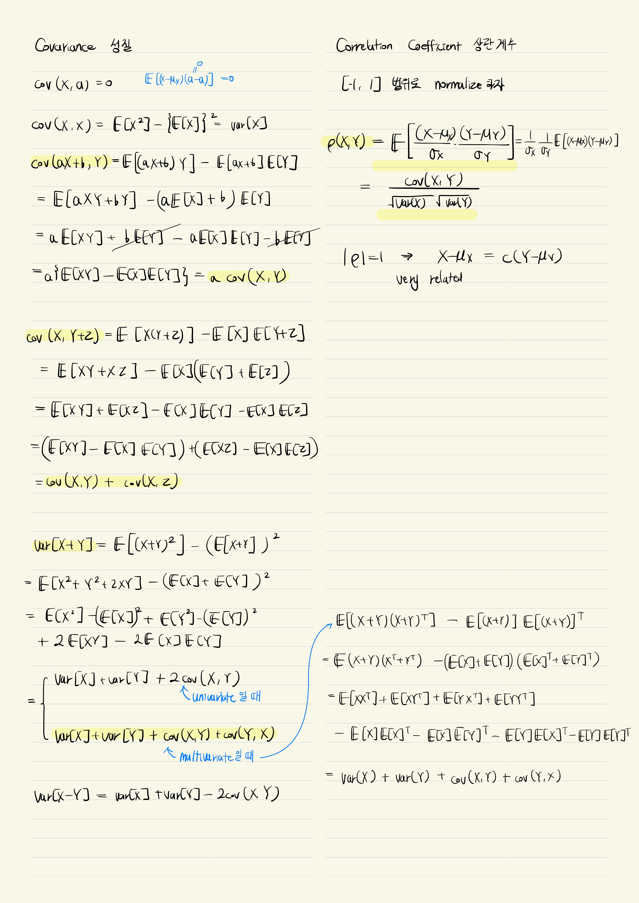
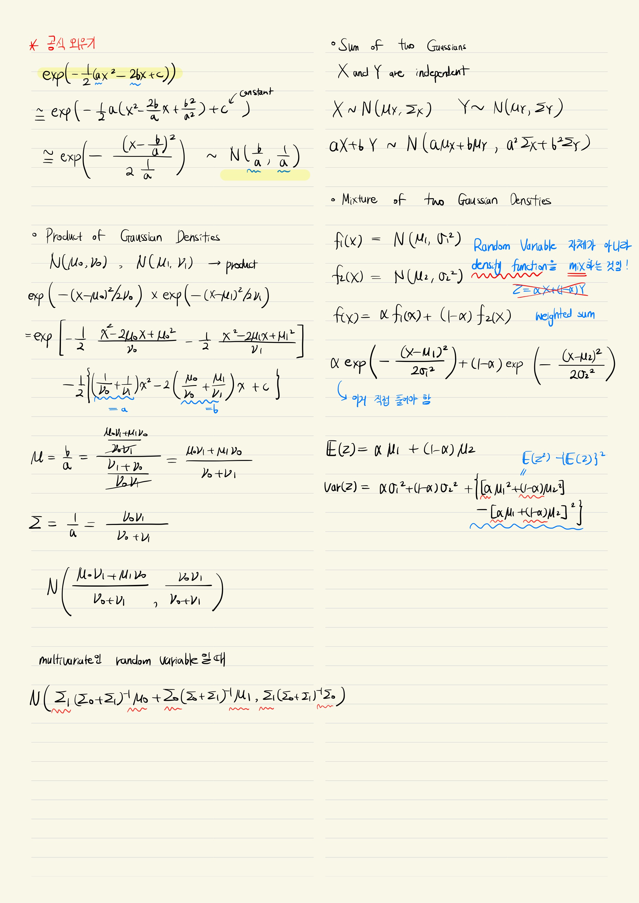
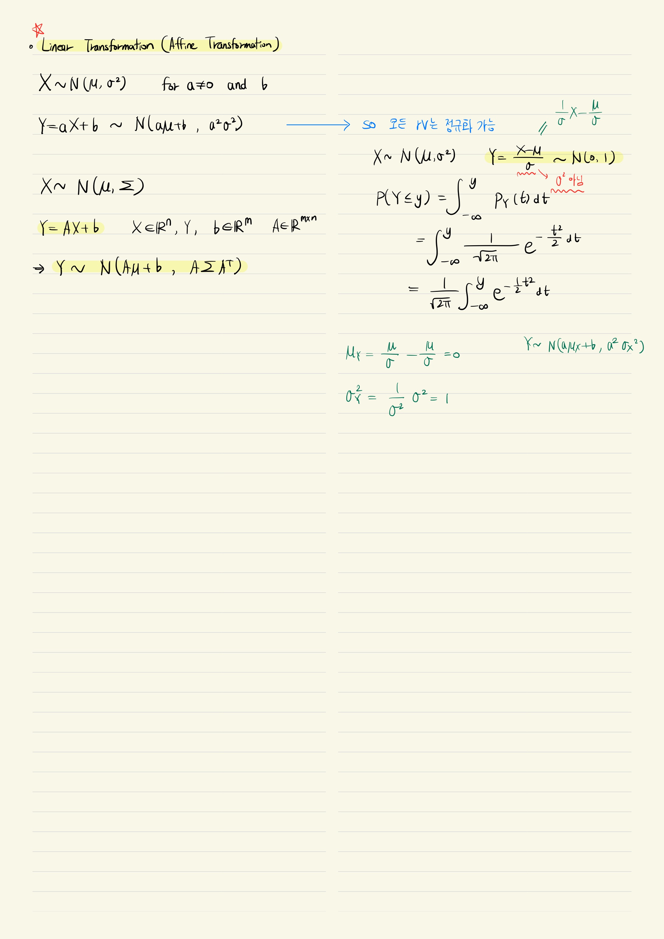
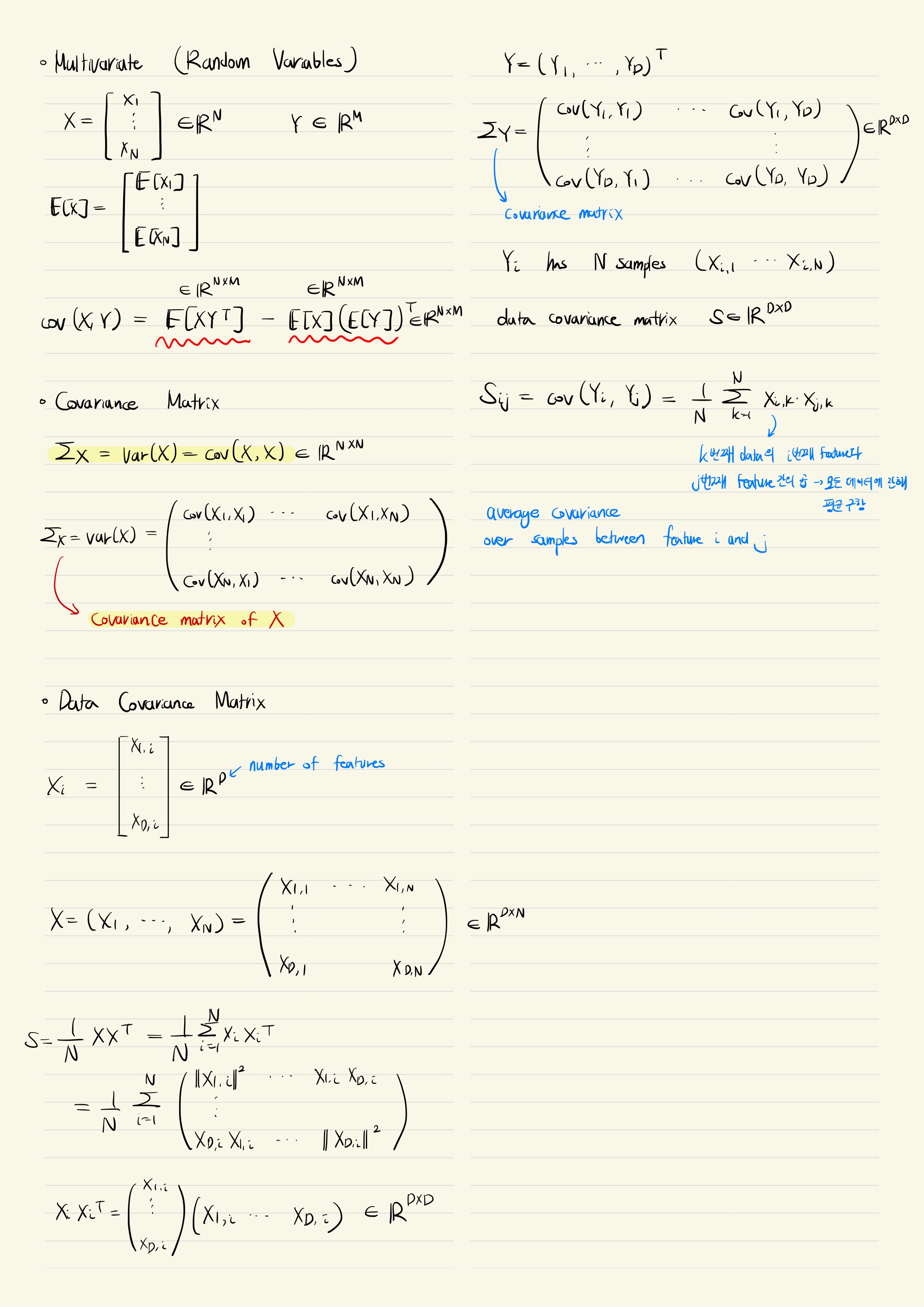
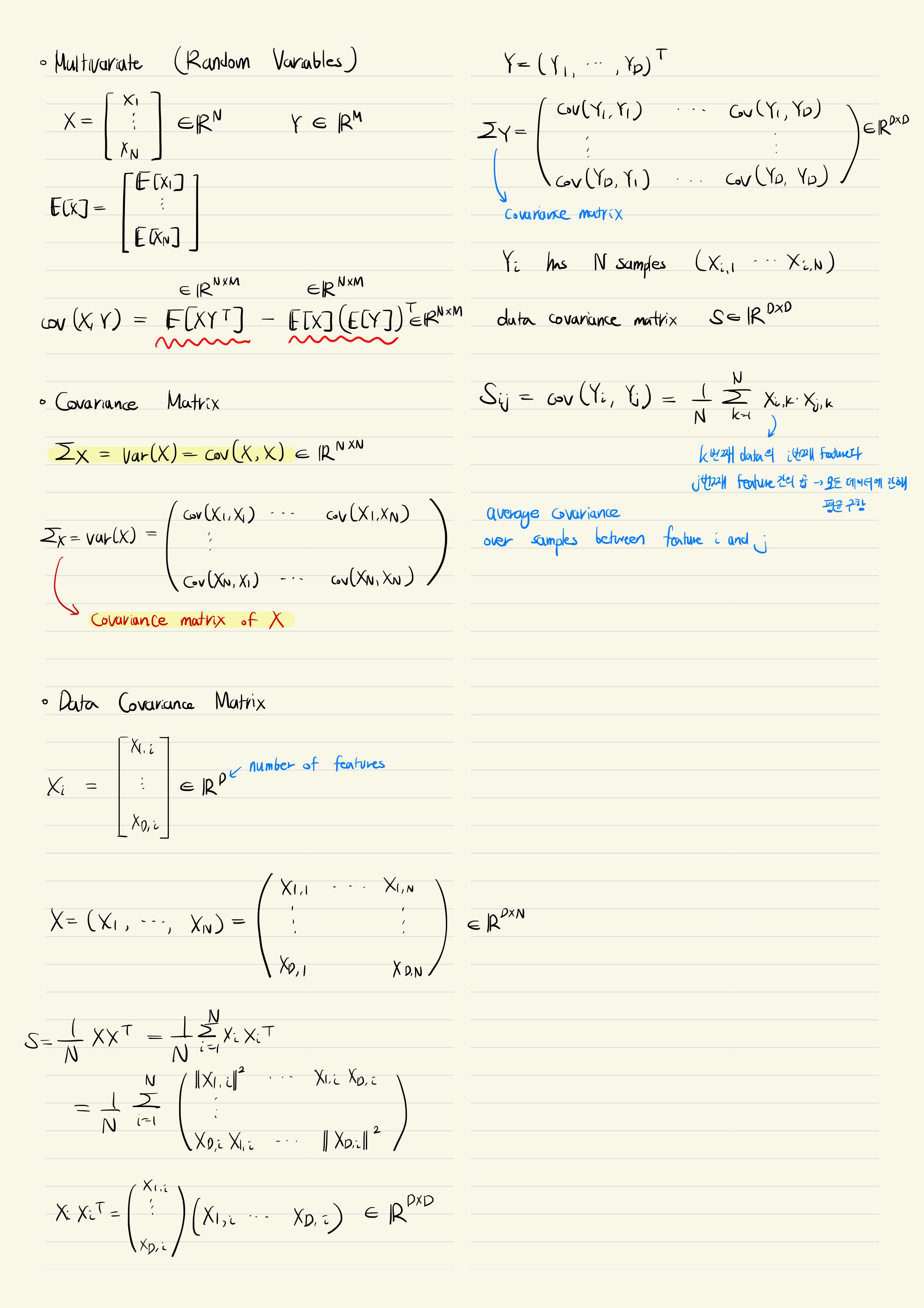
AI/AI 수학 [빠르게 정리하는 통계] 머신러닝에서 기본으로 알아야 할 확률분포 개념 - 추후 완성 예장. 공유하기 게시글 관리 지그시 저작자표시 (새창열림) 'AI > AI 수학' 카테고리의 다른 글 [빠르게 정리하는 최적화 이론] MLE, MAPE 그리고 Fully Bayesian (0) 2023.06.24 [빠르게 정리하는 최적화 이론] Lagrangian과 Convex (0) 2023.06.24 [빠르게 정리하는 통계] 자주 쓰이는 확률분포 정리 (0) 2023.06.23 [빠르게 정리하는 선형대수] 행렬(Matrix)과 역행렬, 그리고 Positive Definite (0) 2023.03.25 [빠르게 정리하는 선형대수] 벡터(Vector)의 정의와 Inner Product(내적) 정리 (0) 2023.03.25 Contents 당신이 좋아할만한 콘텐츠 [빠르게 정리하는 최적화 이론] MLE, MAPE 그리고 Fully Bayesian 2023.06.24 [빠르게 정리하는 최적화 이론] Lagrangian과 Convex 2023.06.24 [빠르게 정리하는 통계] 자주 쓰이는 확률분포 정리 2023.06.23 [빠르게 정리하는 선형대수] 행렬(Matrix)과 역행렬, 그리고 Positive Definite 2023.03.25 댓글 0 + 이전 댓글 더보기