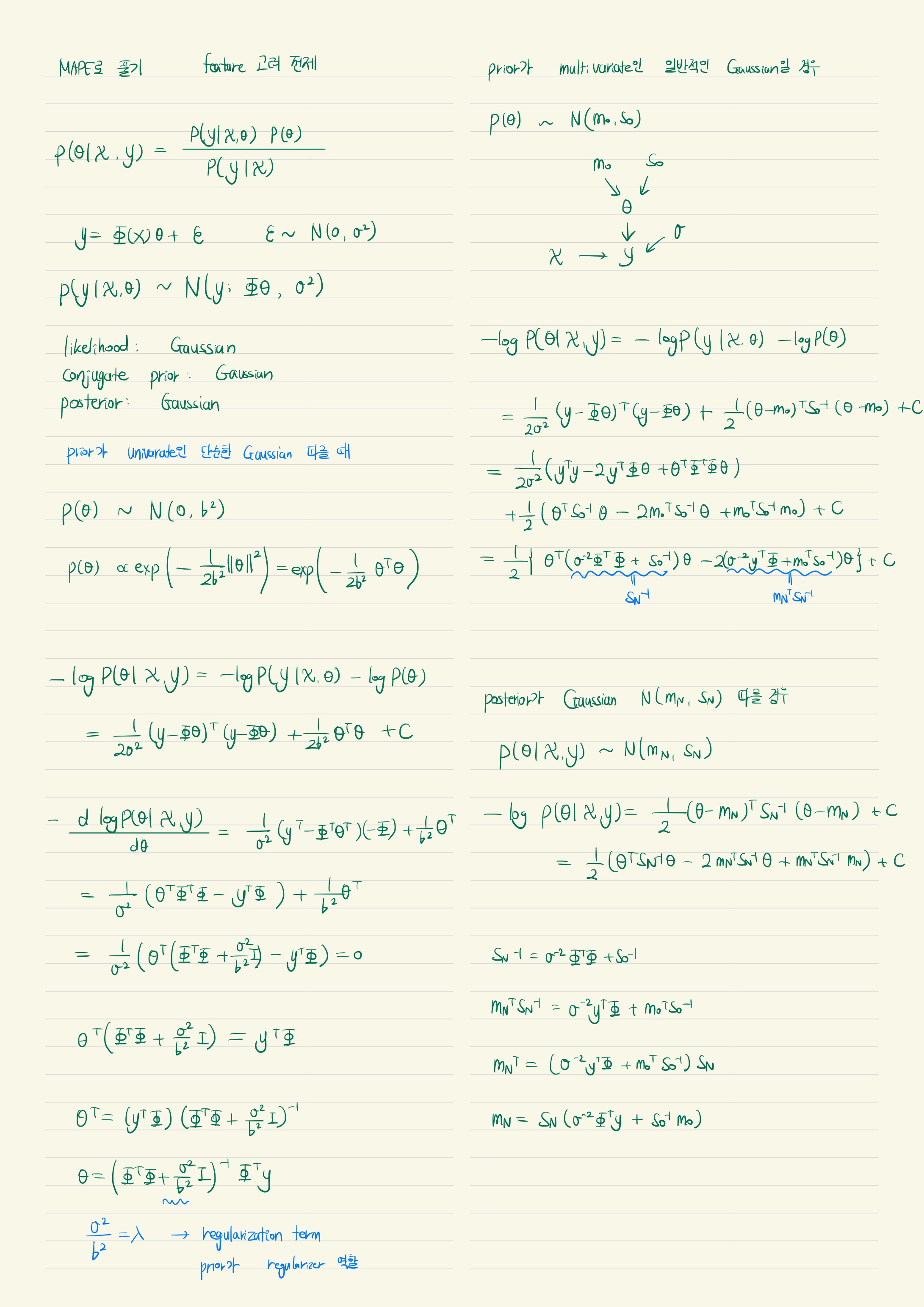
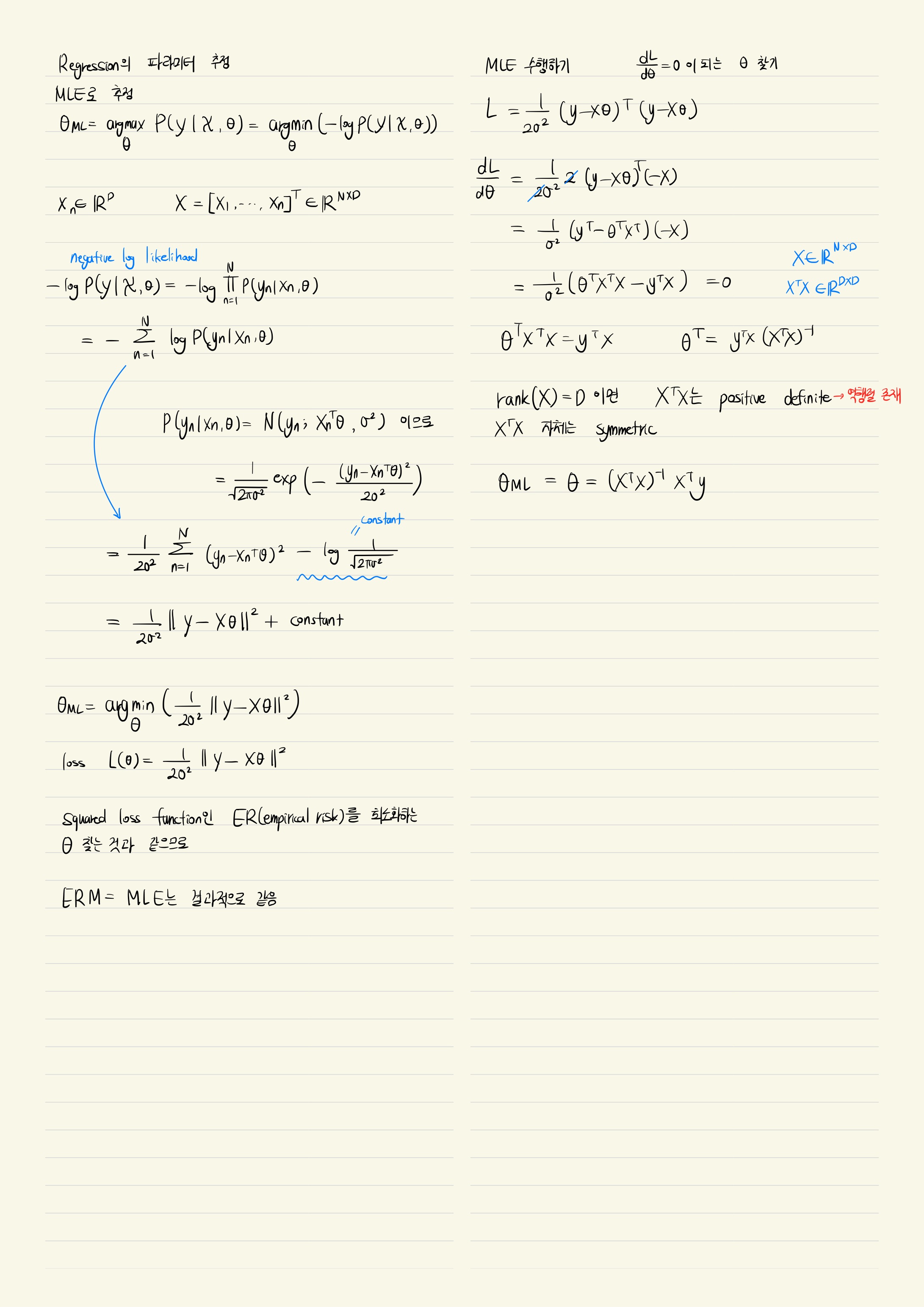
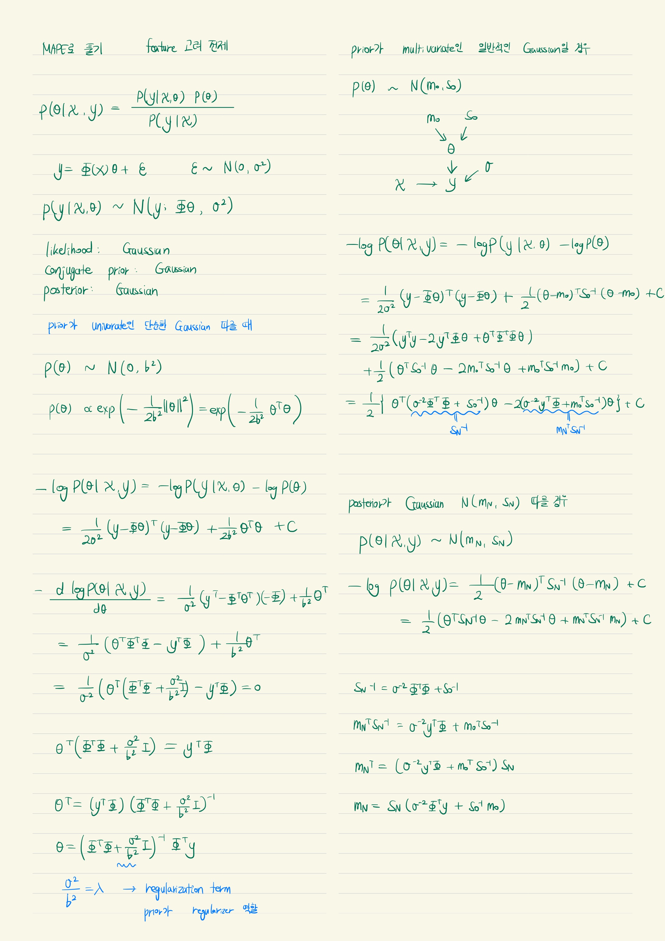
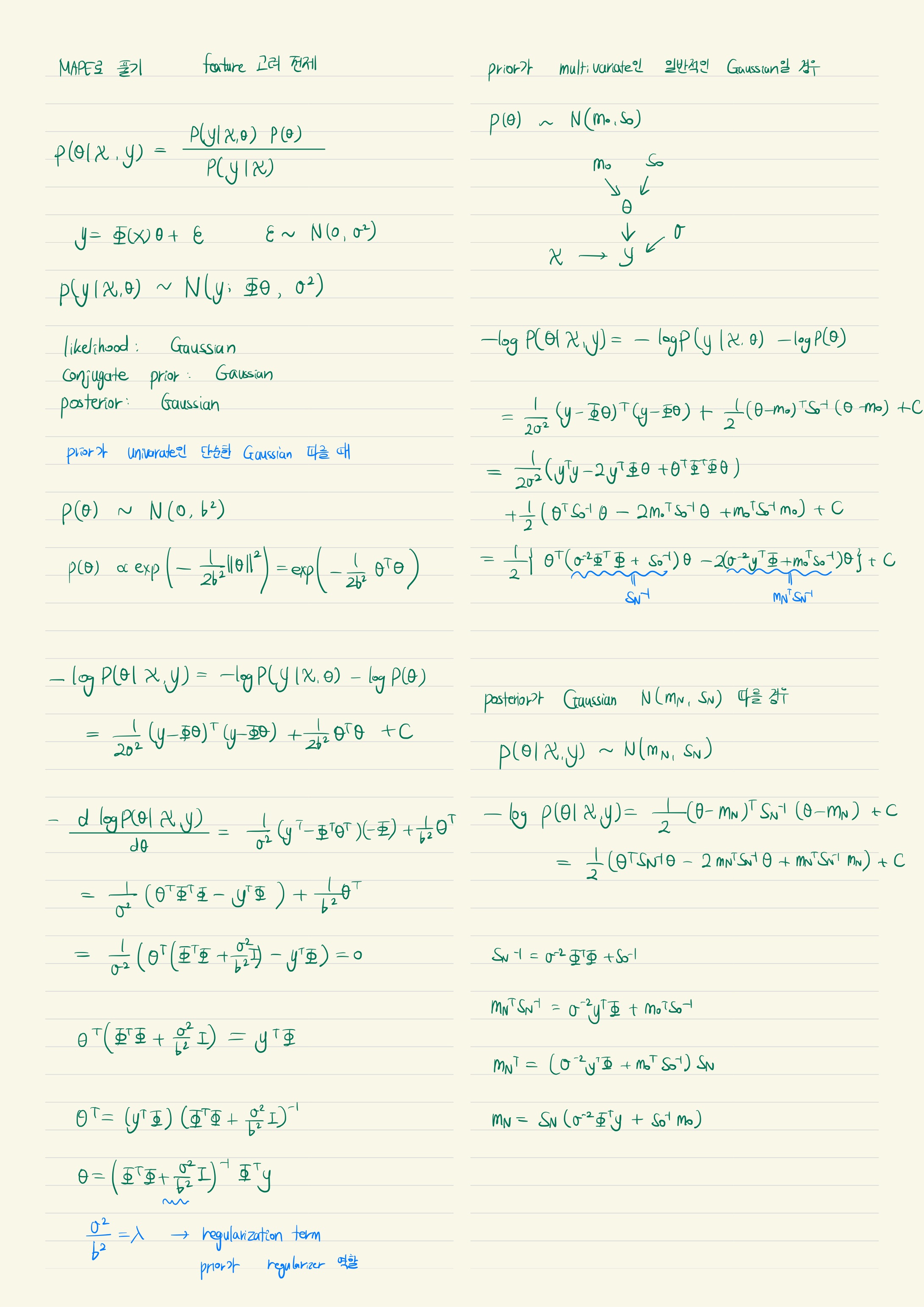
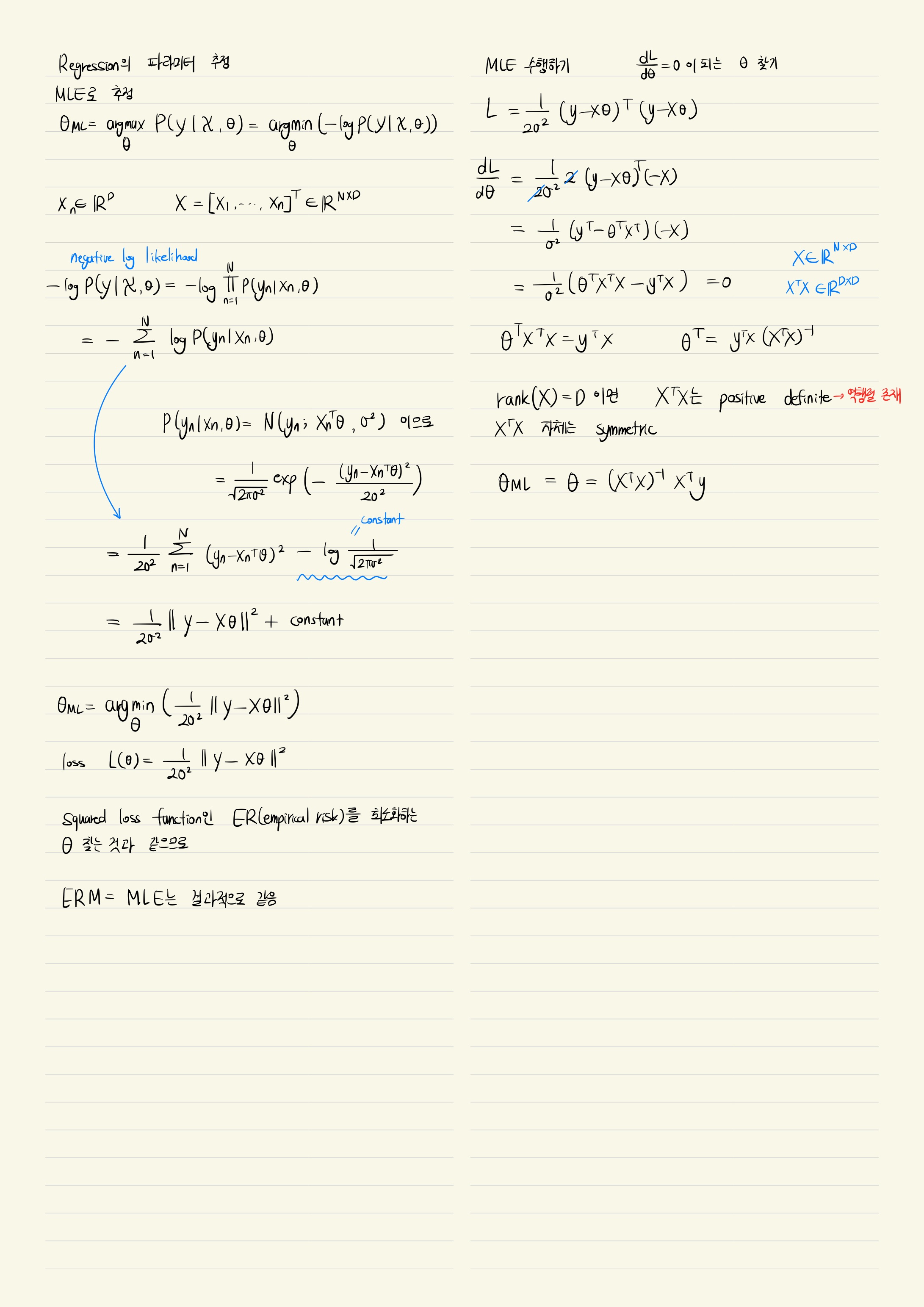
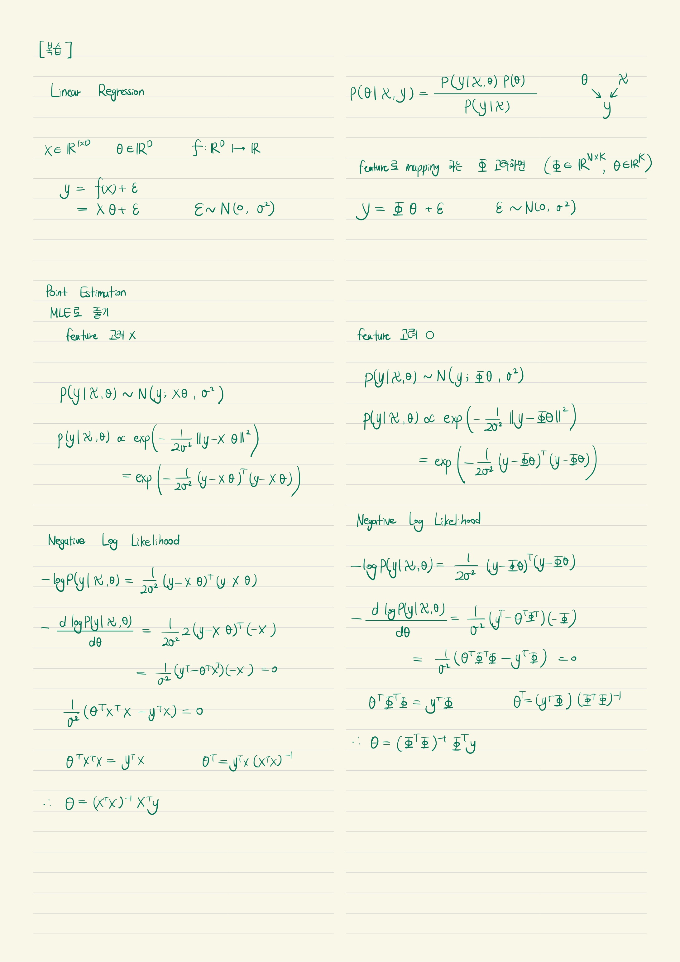
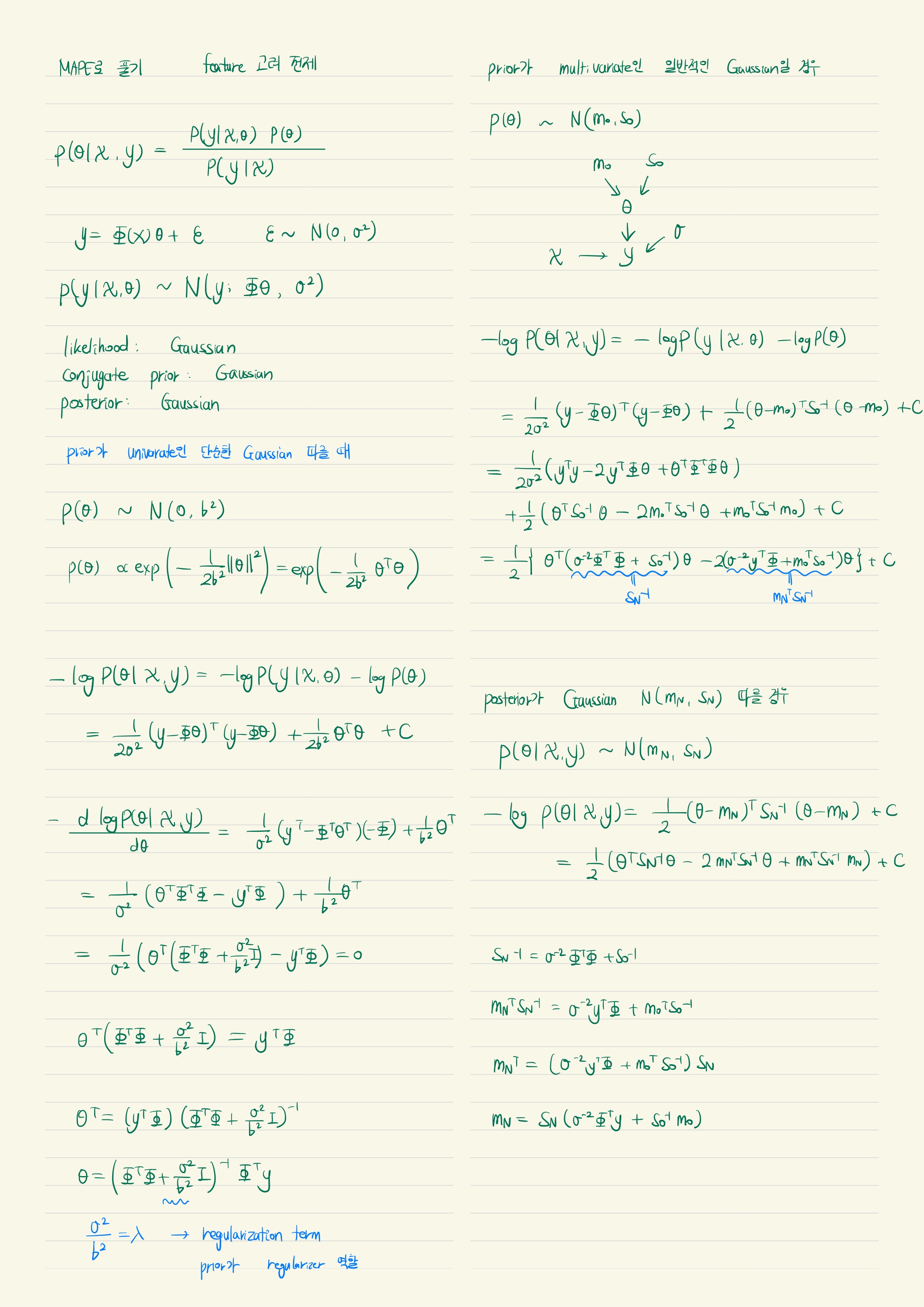
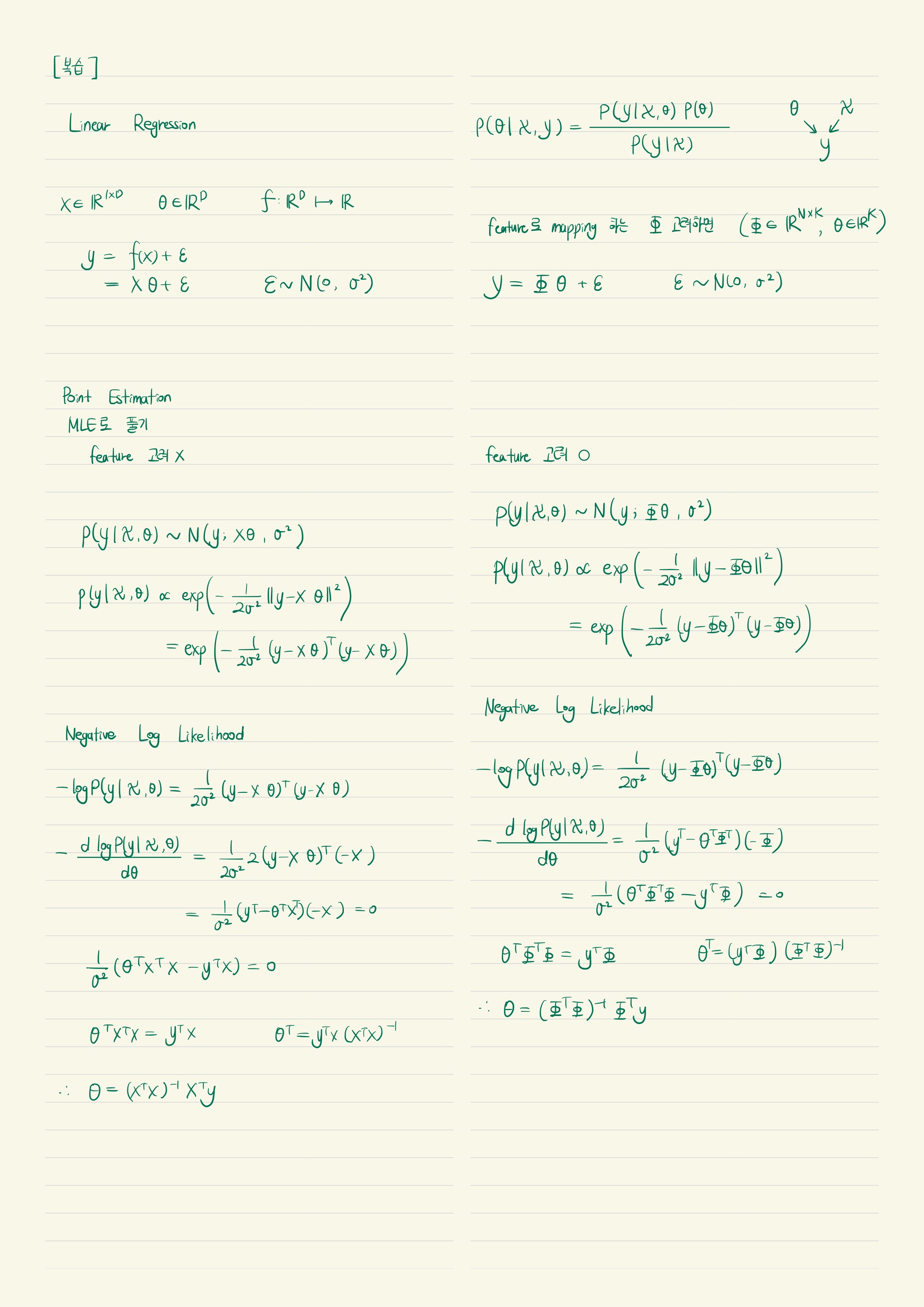
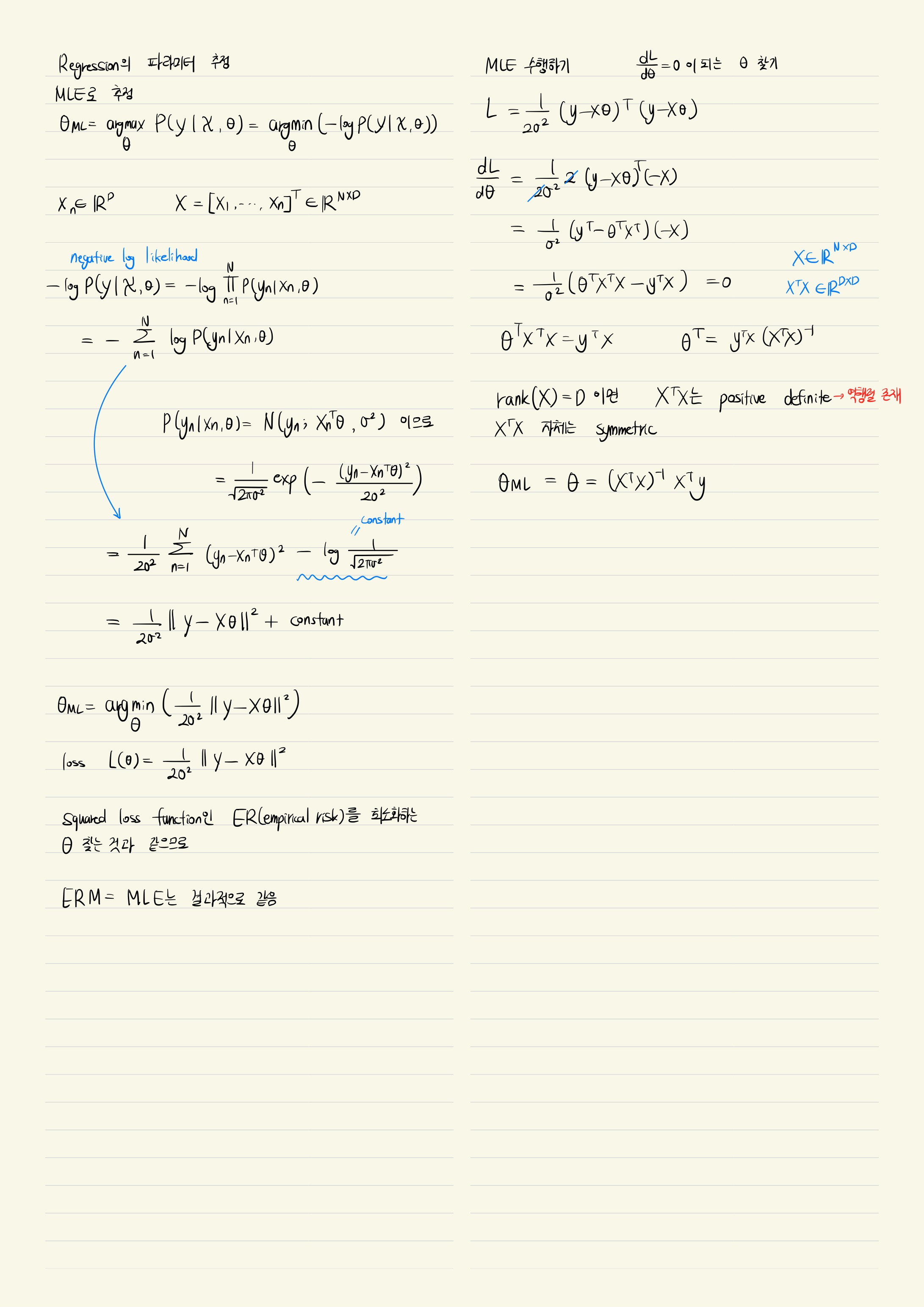
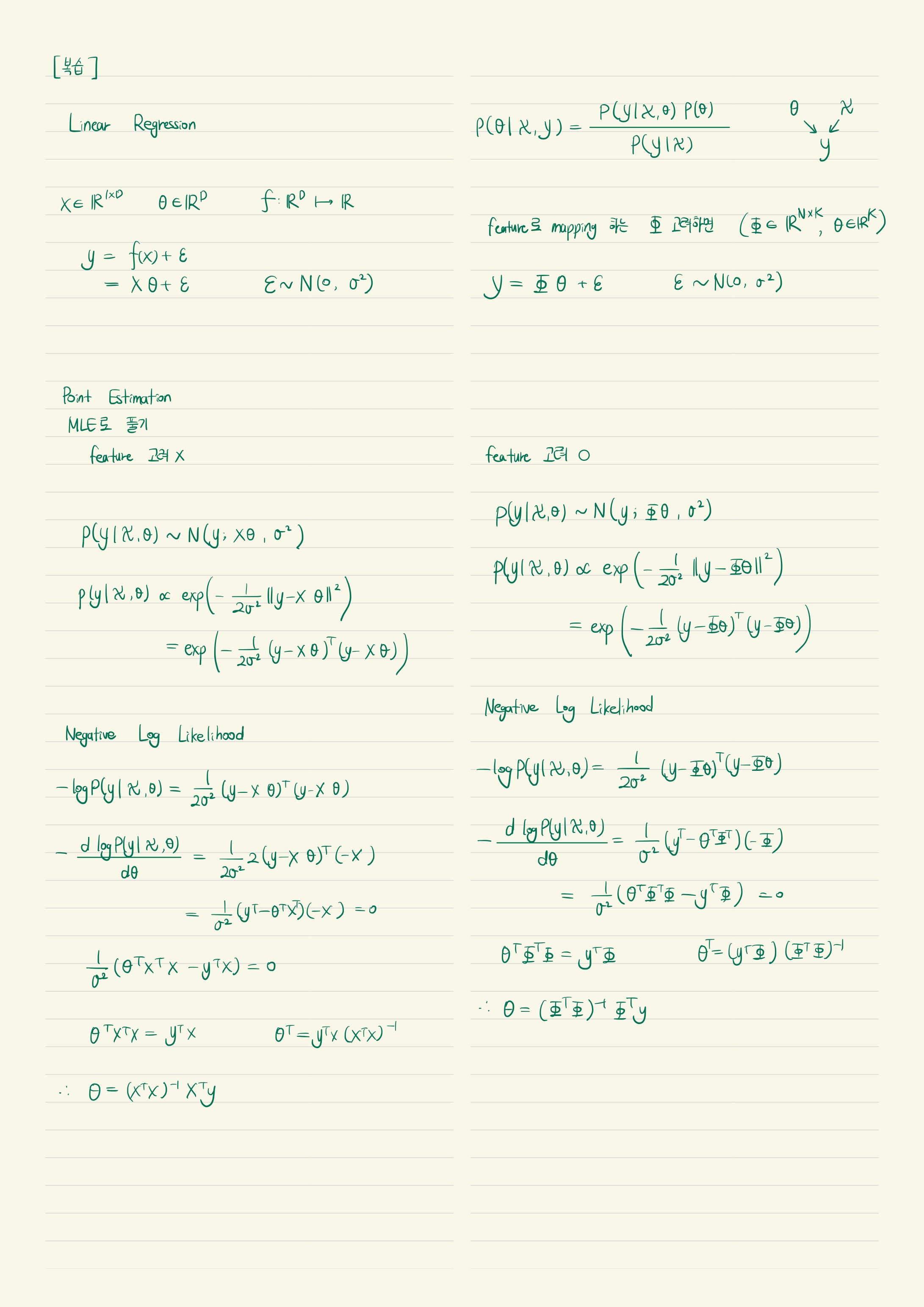
AI/AI 수학 [빠르게 정리하는 최적화 이론] MLE, MAPE 그리고 Fully Bayesian - MLE(Maximum Likelihood Estimation), MAPE(Maximum A Posterior Estimation) 그리고 Fully Bayesian approach에 관한 글. 추후 완성 예정. 공유하기 게시글 관리 지그시 저작자표시 (새창열림) 'AI > AI 수학' 카테고리의 다른 글 [빠르게 정리하는 통계] Conjugate Prior와 Exponential Family (0) 2023.06.24 [빠르게 정리하는 최적화 이론] PCA(Principal Component Analysis) (0) 2023.06.24 [빠르게 정리하는 최적화 이론] Lagrangian과 Convex (0) 2023.06.24 [빠르게 정리하는 통계] 머신러닝에서 기본으로 알아야 할 확률분포 개념 (0) 2023.06.24 [빠르게 정리하는 통계] 자주 쓰이는 확률분포 정리 (0) 2023.06.23 Contents 당신이 좋아할만한 콘텐츠 [빠르게 정리하는 통계] Conjugate Prior와 Exponential Family 2023.06.24 [빠르게 정리하는 최적화 이론] PCA(Principal Component Analysis) 2023.06.24 [빠르게 정리하는 최적화 이론] Lagrangian과 Convex 2023.06.24 [빠르게 정리하는 통계] 머신러닝에서 기본으로 알아야 할 확률분포 개념 2023.06.24 댓글 0 + 이전 댓글 더보기