Generative Model과 Diffusion Model, 그리고 Denoising Diffusion Probabilistic Model
- -
Generative Model
Generative Model이란?
이에 관한 자세한 내용은 아래 글의 'Generative Model' section을 참고하면 된다.
생성 모델(Generative Model)과 VAE, 그리고 GAN
Generative Model Generative Model이란? Discriminative Model과 Generative Model 일반적으로 머신러닝에서 모델을 크게 두 범주로 분류하자면 discriminative model과 generative model로 구분할 수 있다. Discriminative model은
glanceyes.com
글 작성 시점 기준으로는 diffusion model이 큰 각광을 받고 있다. 이번 글에서는 diffusion model이 무엇이고, 어떠한 이유에서 기존의 생성 모델보다 더 주목을 받고 있는지를 확인해 보고자 한다. 이 모델의 배경이 되는 논문이 바로 DDPM(Denoising Diffusion PRobabilistic Models)인데, 이 글에서는 논문의 내용을 상세히 살펴보기 보다는 핵심적으로 알아두어야 할 내용 위주로 노트 필기와 함께 정리해보고자 한다.
DDPM(Denoising Diffusion Probabilistic Models)
DDPM 모델의 개요
Diffusion을 이해하려면 그전에 먼저 VAE에 관한 선수 지식이 유용하다. 앞서 설명한 VAE에서는 어떠한 데이터가 들어왔을 때 그 데이터가 어떠한 확률 분포에서 샘플링되었을 확률이 높은지를 encoder를 통해 latent space로 보내고, 그 latent space에서 샘플링한 샘플을 decoder에 통과한다고 했다. 그 encoder의 역할을 입력 데이터에 noise를 추가하는 과정으로 생각하고, decoder를 noise가 추가된 데이터에서 원래 데이터로 복원하는 과정이라고 생각해 보자. 그러면 VAE에서는 극단적으로 큰 noise를 주고 이를 다시 복원하는 과정으로 이해할 수 있다. Diffusion model은 이러한 noise를 추가하고 denoising 하는 과정을 넓은 시간대인 1부터 $T$까지의 과정으로 수행하는 모델이다. 즉, 작은 noise를 매 time step별로 추가해 가고, 이를 역과정으로 매 time step을 거치면서 noise를 제거하는 것이다. 이는 각 time step별로 VAE에서의 encoder와 decoder로 구성되어 있다고 이해해도 된다.

즉, 1부터 $T$까지의 시간동안 각 time step 마다 Gaussian noise를 추가하는데, noise를 추가하는 과정에서는 직전 time step의 데이터에만 직접적인 영향을 받는 first order Markov model로 가정한다. 그 noise를 적용하는 과정을 forward process $q$라고 정의한다. 이를 시간 $T$까지 수행했을 때의 결과는 완전한 표준정규분포에 가까운 Gaussian noise가 되도록 한다. 시간 $T$에서 1까지 다시 noise를 단계별로 제거하는 과정은 reverse process $p$라고 정의한다. 이때는 forward process의 역순이므로 first order Markov process를 적용할 때 시간상 이후 time step의 데이터에 영향을 받는다. 이러한 denoising process를 매 time step 마다 거침으로써 원래 데이터가 나오도록 한다. 참고로 forward process와 reverse process는 모두 Gaussian distribution임을 전제로 한다. 그러면 이 모델이 궁극적으로 어떤 걸 학습하는지 묻는다면, 어떤 time step에서의 reverse process가 그 time step의 forward process의 과정을 참고한 posterior를 예측하도록 하여 noise를 제거할 수 있도록 그 forward process의 역과정에 근사하도록 하는 것이다. 이렇게만 보면 이해가 선뜻 되지 않을 수 있다. 그전에 forward process와 reverse process가 어떻게 모델링되는지 살펴보자.
Forward Process

논문에서는 $q$를 위와 같이 모델링하고 있다. Noise를 적용하는 임의의 시간 $t$ step에서 샘플링할 때 Gaussian distribution을 따르는데, 그 Gaussian distribution의 평균이 이전 time step의 데이터 $x_{t-1}$에 $\sqrt{1 - \beta_t}$를 곱한 분포를 따르는 것이다. 그리고 분산에는 $\beta_t$를 곱한 값을 적용한다. 왜 굳이 $\sqrt{1 - \beta_t}$와 $\beta_t$를 평균과 분산에 각각 곱하는지 궁금할 수 있는데, 이는 noise를 적용하면서 데이터의 분산이 매우 커지지 않고 1이 되는 걸 맞춰주기 위함이다. 자세한 식은 위의 그림의 오른쪽에 설명해 놓았다.
이를 처음 input 데이터인 $x_0$부터 시작해서 각각의 모든 step의 noise 적용 결과인 $x_{1:T}$를 구하는 과정은 위의 그림에서 production으로 정리할 수 있다. 왜 저렇게 정리되는지는 chain rule을 적용하면 알 수 있는데, first order Markov chain이 전제이므로 이전 time step에만 영향을 받는다는 점을 고려하면 $\prod_{t=1}^{T} q(x_t | x_{t-1})$로 정리된다는 걸 알 수 있다.
여기서 $\beta_t$는 매 time step 마다 다른 값을 지니도록 사전에 hyperparameter로 설정했다고 논문에서는 언급하고 있다. 즉, forward process $q$는 데이터만 정해지면 fixed 상태임을 유추할 수 있다.

그런데 매번 처음부터 임의의 시간 $t$까지 step을 거쳐서 확률 분포를 모델링한다는 건 번거로운 일이다. 그래서 논문에서는 처음 시간부터 임의의 time $t$까지 바로 확률 분포를 모델링할 수 있도록 했는데, 그 결과는 위의 그림과 같다. 저 $\alpha$가 앞으로 자주 등장하므로 이후 내용을 따라가려면 $\alpha$가 무엇을 의미하는지를 기억해 놓는 것이 좋다. 어떻게 위의 식처럼 도출되었는지는 아래 증명을 참고하면 된다.

$\beta_t$는 사용자가 직접 정하는 매우 작은 값의 hyperparameter라고 했고, Gaussian 분포로 점차 샘플링을 할수록 $1- \beta_t$가 곱해지는 $\bar{\alpha}_t$로 정의되므로 $t$가 무한히 커지면 $\sqrt{\bar{\alpha}_t}$는 0에 수렴하고, $1 - \bar{\alpha}_t$는 1에 수렴해서 standard Gaussian distribution(표준정규분포)에 가깝게 된다.
Reverse Process(Denosing Process)

Reverse process는 위와 같이 정리할 수 있는데, 왼쪽 식을 해석하면 denoising 과정을 통해 $x_T$부터 $x_0$까지의 매 time step의 output을 내는 likelihood를 의미하는 것이다. 즉, likelihood를 구하는 것이므로 $\theta$가 붙은 것을 유의한다. 오른쪽 식은 $x_t$가 주어졌을 때 denoising을 적용하여 $x_{t-1}$를 output으로 내게 하는 조건부 likelihood를 의미한다. 여기서 주목할 점은 time $t-1$에서의 Gaussian distribution의 평균과 분산이 $x_t$와 time $t$에 의존한다는 것이다. 그래서 정리를 하면 임의의 time step $t-1$에서의 reverse process는 Gaussian distribution을 따르는데, 그 분포의 평균과 분산이 $x_t$와 $t$에 의존한다. 그러면 우리가 원하고자 하는 바는 이 평균과 분산이 time step $t-1$에서의 forward process의 과정을 참고하여 잘 모델링하는 것이고, 그것이 denoising diffusion probabilistic model의 loss function을 정의하는 데 필요한 기본적인 아이디어이다.
Loss Function

그런데 문제는 reverse process의 평균과 분산이 $x_t$와 $t$에 의존적이므로 intractable 하다는 것이다. 다행히 forward process의 $q$는 앞서 살펴 본 바처럼 hyperparameter $\beta_t$에 의해 초기 데이터만 정해지면 fixed 되어서 tractable 하다. 그래서 사실상 forward process에서는 임의의 time step $t$까지 확률분포를 한번에 모델링했지만, reverse process에서는 매 time step 마다 평균과 분산이 다르게 모델링되므로 임의의 시점까지 한번에 모델링하는 과정이 어렵다.

그러면 $q$를 잘 이용해서 $p$를 최적화하는 것이 필요한데, 문제는 $q$의 방향이 $p$의 방향과 반대라는 것이다. 즉, $p(x_t | x_{t-1})$를 예측하기 위해 $q(x_t | x_{t-1})$을 사용해야 하는데, 둘의 진행 방향이 반대여서 $p$를 $q$에 근사시킬 수 없다. 그러나 다행히 $q(x_{t-1} | x_t, x_0)$를 알 수 있다. 즉, Bayes' rule를 사용하여 $x_0$가 given인 posterior 분포를 유도할 수 있다.
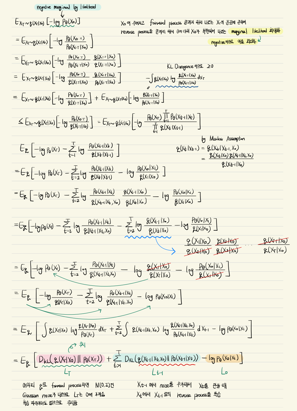
결론은 negative log likelihood인 $-\log p_{\theta} (x_0)$를 최소화하는 것이다. 이 의미는 $x_0$이 주어지고 forward process를 끝까지 해서 나오는 $X_T$의 분포에 관하여 다시 reverse process를 끝까지 해서 $x_0$가 복원되어 나오게 하는 likelihood를 최대화 하기 위함이고, $\log$와 음수를 붙여서 negative log likelihood를 최소화하는 것으로 바꾼 것이다.
여기서부터는 수식의 향연인데, 노트 필기로 정리한 내용을 차근차근 따라가면 된다.

위의 식을 잘 정리하면 결국 맨 마지막 식처럼 세 가지 term으로 도출할 수 있다. 맨 앞의 term은 forward process에서 마지막 time step $T$에 관한 loss인 $L_T$인데, 어차피 time $T$에서는 $N(0, I)$의 표쥰정규분포이므로 $L_T$는 0과 다름이 없어서 무시하면 된다. $L_{t-1}$이 중요한데, time step $t$에서의 forward process의 역과정에 해당되는 분포 $q$dhk 그 time step에서의 reverse process의 분포 $p$가 유사해지도록 하는 것이다. 이게 앞서 우리가 잠깐 언급하고 갔던 denoising diffusion probabilistic model의 학습 목표를 내재하고 있는 것이다. 그러면 여기서 $q(x_{t-1} | x_t, x_0)$를 어떻게 구하는지가 관건인데, 이는 bayes rule로 간단히 도출할 수 있다. 이 posterior의 의미를 잘 해석해보면 $x_t$에서 $x_{t-1}$로 denoising을 수행하는 과정에서 $x_0$의 내용을 참고하여 noise를 제거하겠다는 것이며, 결론적으로는 $x_t$에서 $x_0$로 한번에 가기 위해 제거하는 noise를 구해서 이를 $x_{t-1}$로 denoising 하는 과정에 반영하는 것으로 볼 수 있다.

여기도 수식의 향연이라 머리가 좀 아찔해지기는 하지만, 지금 하고자 하는 목적은 $q(x_{t-1} | x_t, x_0)$를 구하는 걸 기억해야 한다. 그런데 $q$와 $p$는 Gaussian distribtuion이라고 앞에서 전제했으므로 $q(x_{t-1} | x_t, x_0)$를 모델링하는 정규분포의 평균과 분산을 구하는 것이다. (실제로 분산은 구하지 않고, 평균만을 예측하는 것으로 한다. 그 이유는 후술할 예정이다.) 정규분포의 확률밀도함수를 사용하여 $q(x_{t-1} | x_t, x_0)$의 평균인 $\tilde{\mu}(x_t, x_0)$을 구하는 식을 정리하는 과정이 위의 노트 필기이다.

그런데 앞에서까지 구한 $\tilde{\mu}(x_t, x_0)$는 $x_0$ term을 포함하고 있으므로 이를 제거하고 오로지 $x_t$에 관한 항으로 바꾸고 싶다. 그래서 reparameterization trick을 사용하는데, 여기서 reparameterization은 복잡한 분포를 미분 가능한 함수와 간단한 분포로 noise $\epsilon$를 샘플링하는 식으로 나타내는 기법이다. 그래서 결국 우리는 $\tilde{\mu}$를 $x_t$와 $\epsilon$로 정리했다.

즉, $\mu_{\theta} (x_t, t)$가 $\tilde{\mu}_t$와 가까워지도록 하는 것이 목표이며, $\mu_{\theta} (x_t, t)$도 마찬가지로 reparameterization trick에 의해 $x_t$와 $\epsilon_{\theta}$에 관한 식으로 정리했을 때의 그 $\epsilon_{\theta}(x_t, t)$가 $\epsilon$에 근사하도록 만드는 것이다. 즉, $x_t$에서 $x_0$로 한번에 가기 위해 제거해야 하는 noise가 실제 $x_0$에서 $x_t$로 한번에 가기 위해 추가되어야 하는 noise와 모델이 유사하게 예측하도록 해야 한다.

앞서 나온 파라미터들을 바탕으로 $q(x_{t-1} | x_t, x_0)$와 $p_{\theta}(x_{t-1} | x_t)$의 Gaussian distribution 간의 KL divergence를 구하는 과정을 정리한 그림이다. 최종적으로는 뒤의 제곱하는 term만 남겨서 loss function으로 정리하는 게 더 낫다고 논문에서 설명하고 있다.
학습 방법


그래서 궁극적으로 어떻게 모델을 학습하는지가 궁금할 수 있다. 이는 논문에서 pseudo code로 잘 설명해주고 있다. 먼저 최적화 시에는 임의의 시점 $t$를 uniform distribution에서 샘플링하고 $\epsilon$을 표준정규분포에서 샘플링한다. 여기서 $\epsilon$은 앞서 설명한 $\epsilon_t$와 같다. 이를 앞서 정의한 loss 함수 $L_t$에 관해 gradient descent를 수행한다. 여기서 $\epsilon_{\theta}$는 denosing autoencoder이며, $x_t$와 $t$에 관한 정보가 주어졌을 때 $x_t$에서 $x_0$로 한번에 가는 noise인 $\epsilon_{\theta}$을 output으로 예측하는 모델이다. 그 출력값이 $x_0$에서 $x_t$로 한번에 가는 noise인 $\epsilon$과 유사해지도록 학습한다. 임의의 데이터를 샘플링하는 과정은 시간 $T$부터 1까지 reverse process를 통해 $x_0$를 출력하는 것이다. 여기서 유추할 수 있는 사실은 inference 시간이 상당히 걸릴 수 있다는 점인데, 이는 reverse process에서는 $T$에서 임의의 시점 $t$까지 한번에 가는 확률 분포를 모델링하기 어려우므로 하나하나씩 step을 거쳐서 denoising을 수행한다. 그런데 최근에는 fast sampling을 통해 빠르게 샘플링하는 방법이 나왔다고 하는데, 관련 논문도 한 번 찾아서 읽어보는 게 유용할 것 같다는 생각이 들었다.
실제로 간단히 구현한 DDPM 코드는 아래를 참고하면 된다.
https://github.com/Glanceyes/ML-Paper-Review/blob/main/ComputerVision/Diffusion/DDPM/DDPM.ipynb
GitHub - Glanceyes/ML-Paper-Review: Implementation of ML&DL models in machine learning that I have studied and written source co
Implementation of ML&DL models in machine learning that I have studied and written source code myself - GitHub - Glanceyes/ML-Paper-Review: Implementation of ML&DL models in machine learnin...
github.com
출처
1. https://arxiv.org/abs/2006.11239, Jonathan Ho, Denoising Diffusion Probabilistic Models
'AI > CV' 카테고리의 다른 글
당신이 좋아할만한 콘텐츠
-
DDPM(Denoising Diffusion Probabilistic Models)과 DDIM(Denoising Diffusion Implicit Modles) 분석 2023.06.23
-
Diffusion Model의 시초인 Diffusion Probabilistic Models 2023.06.23
-
DiffRF: Rendering-Guided 3D Radiance Field Diffusion 2023.05.05
-
Neural Tangent Kernel과 Fourier Features를 사용한 Positional Encoding (3) - Fourier Features 2023.03.18
소중한 공감 감사합니다.